搜索
首页
代数
图像
矩阵
数字
平面几何
立体几何
三角函数
解析几何
日期时间
颜色
进制
物理
电子电路
Html
健康
生活
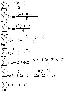
求和计算器(平方和 立方和等)
选择所求和形式 (K)
= ∑
k
k^2
k^3
2k-1
k(k+1)
1 / k(k+1)
k(k+1)(k+2)
1 / k(k+1)(k+2)
想求和的项数(n)
=
结果(∑)
=
公式:
推荐
全能计算网
资源星球
VIP音乐在线免费解析
VIP电影在线免费解析
热门工具推荐
二手房_新房购房交易税费计算器
五次多项式除法计算器
正方形面积、周长、对角线长计算器
两直线间最短距离计算器
热门工具
网站首页
代数计算
图像计算
矩阵计算
数字计算
平面几何
立体几何
三角函数
解析几何
日期时间
颜色计算
进制计算
物理计算
电子电路
Html工具
健康计算
八字计算
税费计算